|












| |
|
NORMAN N. ARROW |
|

(courtesy of Fred Hannum]
Grave marker for Norman N. Arrow in Garden of Eden, Section
II, Vista Memorial Gardens, Miami Lakes (Miami-Dade county), Florida.

Born in Kiev, Russia (now
Ukraine), Norman, along with his parents, Lazar and Bertha as well as 2
siblings (lines 18-22) departed Cherbourg, France aboard the RMS
Berengaria, on 10 June 1922. They disembarked in New York City on
14 June 1922. Note that the family name is shown as Jarowski.
The names of the children are Lusia (9), Nunian (8), and Sarah (2).

Norman's father, Lazar Arovsky (43),
petitioned for naturalization as a U.S. citizen on 1 January 1923 and
listed his family as wife, Bertha (32), their children with the boys now
having adopted the names of Albert (14), Norman (12) but Sarah (3) kept
her given name. All were born
in Russia and were living together as a family unit.
By the time the 1940 census was taken,
Norman (line 26) had become a naturalized citizen and adopted the
surname of Arrow. He had completed one year of college and was employed
s a Hand Waiter in a hotel on the famed Boardwalk of Atlantic City, NJ.

Norman registered for the draft in Miami,
FL on 16 October 1940 and was inducted into the Army on 21 October 1942.
In 17 October 1945, TSgt Arrow was
transferred from the 17th Airborne Division to Company I, 508th PIR.
He was discharged on 30 December 1945.
During his civilian career, Norman became
the food service director at a number of hotels and gained some local
notoriety.
|
Norman returned to the hotel industry and
moved to Miami, FL where he was employed at the Pan American Hotel in
Miami Beach and seems to have been sent annually to Havana. perhaps to
inspect the food services facilities at another company hotel. He
also indicated employment at the Schwartz Hotel in Elkhart, WI which may have been a
summer posting.
|
|
MANIFEST |
DATE |
CARRIER |
FROM |
TO |
|
14 Jul 1946 |
Pan Am
Flt 416-B |
Havana |
Miami |
|
24 Sep 1947 |
Pan Am
Flt 418/25 |
Havana |
Miami |
|
04 Apr 1948 [includes wife] |
Pan Am
Flt 428/04
|
Havana |
Miami |
|
25 Apr 1955 |
Pan Am
Flt 422/26 |
Havana |
Miami |
|
23 Nov 1955 |
Compaņia Cubana De Aviacion
Flt 498/24 |
Havana |
Miami |
 |
19 Apr 1956
[includes wife and two children] |
SS Queen of Nassau (lines 11-14) |
Nassau, Bahamas |
Miami |
|
Coral
Room Maitre Has Combat Record
Although he resembles a benign bookkeeper in appearance, genial
Norman "Gypsy" Arrow, maitre de at the Ritz Plaza Coral Room, has an
outstanding combat record from the last war. A member of the famed 82nd
Airborne division, Arrow has 72 parachute jumps .to his credit and was
awarded the Distinguished Service Cross and Silver Star for gallantry in
action. He also holds the purple heart

Reluctant Hero Tells How He Won All Those Medals
By Jan Glass - Reporter at The
Miami News
Norman Arrow went to a reunion of the 82nd Airborne Division with which
he fought In World War II a couple of years ago. He sported two rows of
ribbons, representing 14 medals, on his chest "I looked around at the
top brass floating about." says Norman, "and was horrified to see ! had
more medals than anyone. It was embarrassing. "So I took one of the
strips off. Felt more comfortable that way."
One reason may be that 54-year-oki Arrow likes to kid about his
medals. He is the original reluctant hero, slightly embarrassed at the
way he won some of them. There was, for instance, the battle of
Flamenge, Belgium.
In January. 1945. Sgt Arrow and 14 men went on reconnaissance ahead
of their regiment to the village of Flamenge. It had been practically
demolished by the Germans.
They holed up in a cellar and were suddenly surrounded in the
streets outside by German soldiers, anxious to take control of the
village again.
"I was so scared," says Arrow, "I was paralyzed. I didn't know any
better than to cajole the men into firing outside. This went on all
night. I don't know if we hit anyone, but next morning, the regiment
rescued us. "The rest of the guys said I had saved the village. Truth
Is, if I'd known where to run to, I'd have run. There wasn't anything
else we could do "However, they gave me the Silver Star for that, and
the Belgians not only gave me the Order of the Knight of Leopold, they
even named one of their streets in Flamenge, Rue de Arrow."
Arrow also got a Silver Star for carrying a wounded comrade on his
back during a "tactical withdrawal That means we were running away.
"Anyway, I had this guy on my back and everyone thought I was a hero for
rescuing him, but my original thought was, 'If the bullets come, he's
gonna be my shield! "
He also managed to win France's highest honor, the Croix de Guerre
for escorting 40 German prisoners to camp across the French lines. "The
truth is, I couldn't talk any of the French resistance people into doing
it and I was scared to think what the Army would do to me for just
leaving them there."
The really brave ones, says Arrow, were the men who overcame
frantic fear to fight. "I was different Never believed it could happen
to me. I've always been sure I'll die a natural death."
Despite Arrow's protestations, he has managed to pile up a fair
record of gutsiness. A lightweight boxer who made the 1932 Olympics
team, he went on to win 145 amateur matches before being defeated. After
World War II (during which he was a parachute instructor and made more
than 100 jumps, he was made a boxing instructor. He is still a tough
5-feet-4'j inch 160-pounder.
After the war he became, of all things, a hotel food and beverage
director. Since then, he has occupied that position in several hotels
here and in the Bahamas. And he doesn't even drink. He is now food and
beverage director for the soon-to-be-opened Marco Polo Motor Hotel at
192nd Street and Collins Avenue. He lives with his wife at 911 S. 13th
Ave., Hollywood.
Pride of his life right now is his 18-year-old son. Storm, who has
joined the Army and become a paratrooper.
[The Miami News. Miami,
Florida, 07 Nov 1967, Tue, Page 3] |
 |
1 Oct 1956 |
Compaņia Cubana De Aviacion
Flt 498/02 |
Havana |
Miami |
 |
30 Oct 1956 |
Compaņia Cubana De Aviacion
Flt 498/31 |
Havana |
Miami |
 |
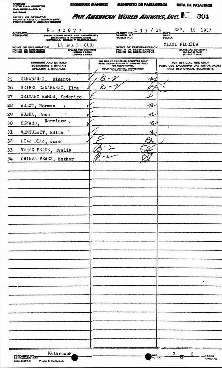
15 Sep 1957 |
Pan Am
Flt 433/15 |
Havana |
Miami |
_small.jpg) |
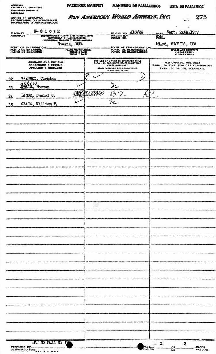
24 Sep 1957 |
Pan Am
Flt 418/24 |
Havana |
Miami |
 |
9 Dec 1957
[employed by Schwartz Hotel, Elkhart, IN] |
Pan Am
Flt 422 |
Havana |
Miami |
 |
14 Oct 1959 [employed by Royal Palm
Hotel, Miami Beach] |
[Pan Am*]
Flt 416 |
[Havana*] |
Miami |
|
 |
8 Jan 1961 |
? |
? |
Miami |
|
|
* = based on same flight
number appearing on another manifest |
|
 |
|