|
Harry W. Dean, 94 of Carmichaels (Khedive, unincorporated), Greene county, PA, died Friday, August 28, 2015 at home. He was born April 21, 1921 in Long Branch, Washington County, a son of the late Eugene B. and Freda Hess Dean.
Mr. Dean enlisted in the United States Army on September 28, 1939. He served during WW II with many units and one campaign with the 82nd Airborne Division. He served on several motorcycle escorts for President Roosevelt. He served three campaigns in the Korean War and assignments in Europe and Okinawa. He retired from the Army in 1964.
After military retirement he worked for the United States Department of Justice, Bureau of Prisons from 1965 to 1979, and retired.
Mr. Dean moved back to Greene County and worked several years with the Greene County Sherriff's office from 1980 to 1986, when he retired again.
He was a life member of the American Legion Post #400, Carmichaels and the Veterans of Foreign Wars Post #4793, Waynesburg.
On March 5, 1962 he married Fusako Higa, who survives. Also surviving is a daughter, Mary Lou Brazell and her husband Robert of Fayetteville, NC; and a son, Joseph Dean and his wife Rhoda of Carmichaels; 8 grandchildren and several great grandchildren.
A memorial gathering will be held from 1 to 3 p.m., on Thursday, September 3, 2015 at the Behm Funeral Home, 1477 Jefferson Rd., Jefferson, PA 15344, Gregory P. Rohanna, supervisor, when a memorial service will be at 3 p.m. Military Rites will be accorded by the United States Army. Inurnment will be at the National Cemetery of the Alleghenies, Bridgeville. |

Although Harry W. Dean stated that he never registered for the draft
(see veterans bonus application, below) a record does exist.
Harry enlisted in the army at Uniontown, PA on 28
September 1939.
Sgt Dean was transferred from the 17th Airborne Division
to Company E 508th PIR on 23 August 1945. He re-enlisted for the
Military Police on 12 March 1946.
Harry
submitted this Pennsylvania WWII Veterans Bonus application
on 17 January 1950. At the time, he was with the 503rd Military
Police Service Detachment at Carlisle Barracks, PA. He was
credited with 38 months of domestic duty and 9 months of overseas
service for a full $500 bonus award.
On 17 December 1952 he arrived at Idlewild airport,
New York, NY from Copenhagen, Denmark on Scandinavian Airlines System
(SAS) traveling under military orders
Three years later, on 11 November 1955, SFC Dean departed that same airport for a flight to
Frankfurt, Germany on Pan American World Airways, Flight Number 922,
again under military orders.
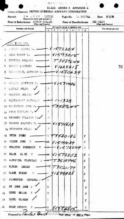
On 6 May 1956, he returned to New York, NY from London, England on
British Overseas Airways Corporation (BOAC) flight 509/844/ aboard
aircraft (tail G-AKGI)

On 17 August 1956, he departed New York, NY to London, England on
British Overseas Airways Corporation (BOAC) on flight 510/966
(tail G-AKGI)
On what may have been his final deployment, he was listed departing
Honolulu, Hawaii on 17 July 1959 using passport 4132685. The mode
of transportation and destination was not stated in the record.
The
two BOAC flights that Sgt Dean flew on were aboard Boeing 377 Stratocruisers, registration G-AKGH
(c/n 15975) and
G-AKGI (to 159796). The 377 was a long-range airliner developed from the C-97 Stratofreighter military transport, itself a derivative of the B-29 Superfortress.
G-AKGH became the flagship of the fleet and was christened
Caledonia. after changing hands a few times, In 1969 it was stored
in the Mojave desert and subsequently broken up in parts used in NASA's
Aero Spacelines "Pregnant Guppy" and "Super Guppy" programs.

[l-r] G-AKGH, G-AKGI and a Super guppy |